说明:本文华算科技介绍了过电位的概念、产生原因、影响因素以及其变高或变低的原因。过电位是电极电位与理想电极电位的偏差,反映了电化学反应的动力学特性。其产生与电极反应的电荷转移阻力、电极表面状态、溶液性质等有关,而其大小受电极材料、电解液组成、外界条件等影响。
什么是过电位?
过电位是指在电化学反应中,电极表面电位相对于理想电极电位的偏差,是衡量电极反应难易程度的重要参数,反映了电化学反应的动力学特性。
在理想情况下,当电流通过电极时,电极电位应当与相应的标准电位保持一致。然而,在实际情况中,由于电极反应的复杂性,电极电位通常会偏离这一标准值,产生过电位(图1)。

图1.以过电位、塔菲尔斜率和交换电流密度表示反应活性。DOI:10.1186/s40580-021-00254-x
在电化学过程中,过电位的产生源于电极反应的动力学特性与热力学势能之间的差异。
当电荷从电极表面转移到溶液中或反向时,电极反应需要克服一定的能量障碍,这种障碍导致了电位的偏离,它不仅与电极材料的性质相关,还与反应的类型和环境条件密切相关。
过电位为什么会产生?
过电位的产生原因是多方面的,涉及到电极表面的反应机理、电极材料的性质、溶液中的离子浓度等因素。
电极反应的过电位来源于反应过程中所涉及的电荷转移阻力。电化学反应通常包括电子的转移和离子的迁移,而这些过程都受到一定的动力学障碍。在氧还原反应中,电荷的转移需要克服电极表面的活化能,这一障碍导致电极电位偏离理想值,从而产生过电位(图2)。

图2. 电荷转移所涉及的能垒,解释了电荷转移步骤造成的过电位。DOI: 10.1016/j.apsusc.2025.163298。
其次,过电位的产生还与电极表面状态密切相关。电极表面的结构、形态、缺陷以及吸附物种的存在,都可能影响电荷转移过程的难易程度,从而影响过电位的大小。
电极表面如果存在氧化物、氢化物等物质,会使得电子转移变得更加困难,导致过电位升高(图3)。

图3. 不同催化剂的LSV曲线及电位图。DOI: 10.1016/j.apcatb.2019.118198。
此外,溶液的性质也会对过电位的大小产生影响。溶液中的离子浓度、酸碱性、温度等因素,均会影响电极反应的速率和电荷转移的效率。溶液中的离子浓度较低时,离子迁移的速度较慢,导致电荷转移受阻,从而引起过电位增大(图4)。

图4. 概括了电极/电解液界面通过改变反应路径、降低活化能等减小反应所需过电位。DOI:10.3390/catal14120845。
过电位的影响因素?
过电位的大小受多种因素的影响,主要包括电极材料的性质、电解液的组成、外界条件(如温度、压力等)以及反应类型。
电极材料
电极材料的选择对过电位有显著影响,不同材料具有不同的电催化活性。例如,贵金属如铂、金等材料具有较低的过电位,而一般的金属或非金属材料则可能呈现较高的过电位。这是因为贵金属具有较好的电荷转移能力,能够有效地减少反应中的能量损失(图5)。

图5. NiFe与CoFe层状双氢氧化物及对应金属氢氧化物在碱性电解液中的 OER 线性扫伏安曲线、稳定循环伏安曲线以及同步 DEMS 检测到的 O₂ 演化信号。DOI:10.1038/s41467-020-16237-1
电解液
电解液的组成也会显著影响过电位的大小。在电解液中,离子浓度对电极反应的速率至关重要。
浓度较高的电解液可以促进离子的迁移,从而降低电荷转移的阻力,减少过电位。而较低的离子浓度则会导致过电位的增大,原因在于低浓度的离子使得电极表面附近的电场不稳定,增加了电荷转移的难度(图6)。

图6. 不同电极在不同电解液中的 LSV 曲线。DOI:10.1038/s41467-022-29710-w。
过电位变高、变低的原因?
电极材料的变化:电极材料的表面性质、催化活性等直接影响电荷转移的效率。当电极材料发生变化时,其表面催化特性可能会导致电荷转移速率的改变,从而引起过电位的增高或降低(图7)。

图7. Ru₅W₁Oₓ与商用RuO₂等在酸性电解液中的过电位对比。DOI:10.1038/s41467-022-32581-w。
电解液成分的变化:电解液中的离子浓度、酸碱度等变化对过电位有重要影响。较高的离子浓度能够有效地降低电极反应的电荷转移阻力,从而使过电位降低;而较低的离子浓度则可能导致过电位升高。
此外,溶液的酸碱性对电极反应的速率也有影响,酸性或碱性溶液对不同反应类型的影响不同,从而间接影响过电位(图8)。

图8. RuIr基催化剂在酸性与碱性电解液中极化曲线及过电位的对比。DOI:10.1038/s41467-019-12580-4。
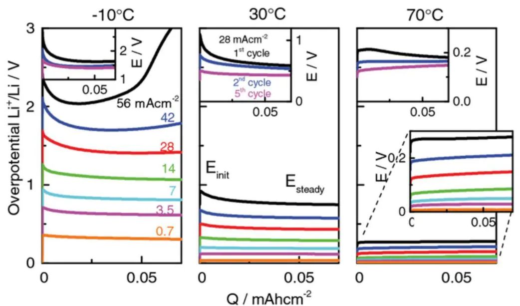
温度的变化:温度升高通常能够加速电化学反应的进行,因为温度升高有助于降低反应的活化能,从而使得电荷转移过程变得更加高效。因此,在温度升高的条件下,过电位通常会降低。反之,温度下降会导致反应速率减缓,过电位升高(图9)。

图9. 温度对过电位的影响。DOI: 10.1149/2.0701802jes。
外部压力的影响:在一些电化学反应中,尤其是气体反应,外部压力的变化能够显著影响过电位。较高的压力有助于气体分子的溶解与电极表面的结合,减少了电荷转移的难度,从而降低了过电位。而较低的压力则可能导致气体溶解度下降,电极反应受阻,过电位升高(图10)。

图10. 外部压力影响。DOI: 10.1039/C7CP03654J。
电极表面状态的改变:电极表面的化学组成、结构缺陷、吸附层的形成等因素都会影响过电位。
当电极表面覆盖了不活泼的物质或发生了腐蚀时,电荷转移的效率下降,导致过电位升高。而在电极表面形成高活性的催化层时,电荷转移变得更加顺畅,过电位降低(图11)。

图11. 电极表面状态变化对过点位的影响。DOI: 10.1021/acsami.2c00900。