
前 言
“墨骨”者,乃书画艺术立形之基、传神之脉也。其要义在于笔墨间的法度与骨力,关乎线条的提按转折、墨色的浓淡干湿。于书法而言,篆之圆劲、隶之古朴、楷之端严、行之流润、草之奔放,无不以点画为骨,撇捺间见刚柔,使转处显气度,一笔一画皆含筋骨之力,方得书法之神韵。于绘画而论,山水之皴擦勾勒、花鸟之点染勾勒、人物之线描塑形,亦赖墨骨以立形,或苍劲老辣,或秀逸灵动,或雄浑厚重,墨色的虚实相生、层次变化,皆为骨力之延展。无骨之笔墨,如无源之水、无本之木,徒具其形而失其魂,难成佳作。
“文心”者,是书画创作寄情之核、载道之魂也。它植根于创作者的学养积淀与情志涵养,关乎胸中之丘壑、笔下之意趣,是文脉传承的精神延续,亦是艺术创新的内在支撑。文心非凭空而生,源于对古今典籍的浸润,对山川草木的体察,对人生世事的感悟。有文心者,下笔则含情,落墨则有意,或抒家国情怀,或写林泉之志,或寄闲逸之思,于尺素之间铺陈出悠远的意境与深邃的哲思。若文心不彰,纵使笔墨技法娴熟,亦不过是匠气之作,有形无神,难以动人。
墨骨为体,文心为魂,体魂相融,方臻书画艺术之至境。骨力支撑起笔墨的骨架,文心赋予笔墨以灵韵,二者相辅相成,缺一不可,此便是“墨骨文心”的深层意蕴。
愿本次特展,能以墨骨文心之旨,引领观者溯传统书画之源流,探当代艺术之新风,于笔墨氤氲间体悟中华美学之精髓,于尺幅万象中涵养人文雅韵之情怀。
艺术家简介

宋华平 1954年1月出生于河南确山县,祖籍山东泰安。郑州大学汉语言文学专业毕业。十三届全国政协委员、中国书法家协会第七届副主席,原中国书法家协会行书委员会副主任、河南省文联副主席、河南省书法家协会主席、河南省政府参事。 现任中国书法家协会顾问、河南省书法家协会名誉主席、郑州大学书法学院硕士生导师、河南大学书法名誉教授。
曾担任第四届全国青年书法作品展评委会主任、第三、四、五届中国书法兰亭奖、全国第八届、第十一届书法篆刻作品展、全国第五届楹联书法作品展、中国文化和旅游部举办的第十一、十二届、十三届全国优秀书法篆刻作品展等重大展览的评委。

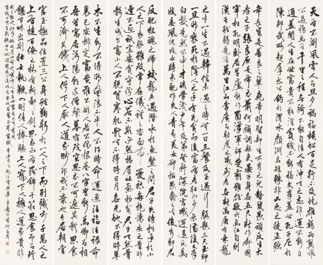
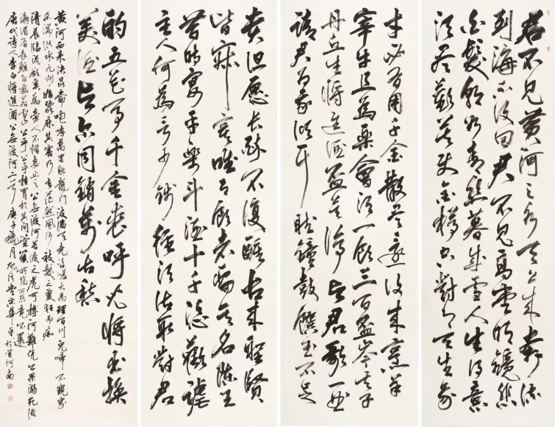
作品欣赏
















