群发资讯网
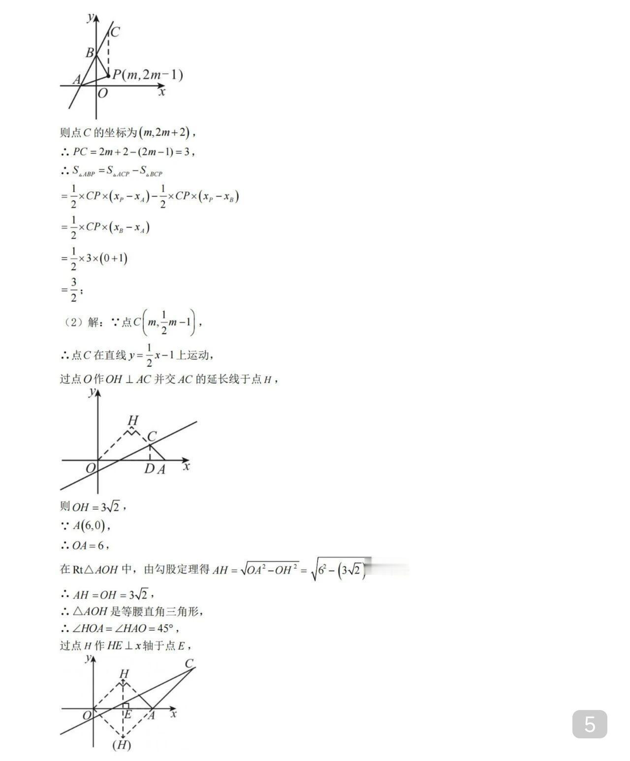
初二数学竞赛 又是几何主导 几何不建议学模型 模型强调记背结论 即使曾经推导过程
2026-03-17 22:18:34
数学放大镜
生活
初二数学竞赛 又是几何主导 几何不建议学模型 模型强调记背结论 即使曾经推导过程 但在长期的应试岁月里会淡化 甚至不记得推导原理
猜你喜欢
当我把数学公式写在窗户上
2026-03-09
一本正经学长
标签:
数学
数学基础不好的同学,就要多积累这样的经典中档题。这是一道角平分线的经典题目,也是
2026-03-16
小虫数学
标签:
数学
数学是靠智商,还是靠多做题?
2026-03-17
大学安利
标签:
数学
专业英语纯粹是为了建立知识壁垒
2026-03-13
白夜菌
标签:
英语
不管你上什么样的高中,这10个真相你一定要提前弄明白:1、高中的本质是选人
2026-03-16
飞兰谈课
标签:
高考
高中物理
中国为什么出不了顶级数学家?北京大学数学天才张筑生为国拿下五个第一,却一辈子都没
2026-03-12
发煌聊历史
标签:
数学
北京大学
北大
高中物理,中等生和学霸的差距,真不在脑子灵不灵!大家好,我是殷大神。哈
2026-02-24
飞兰谈课
标签:
高中物理
学霸
中小学
见过这种数学竞赛题吗我赌你没见过附图是初一数学竞赛试题
2026-03-16
数学放大镜
标签:
数学
中小学
热门分类
推荐
热榜
军事
NBA
体育
社会
明星八卦
娱乐
财经
科技
汽车
历史
国际
游戏
动漫
公益
搞笑
商业
互联网
数码
国际足球
房产
家居
时尚
科学探索
职场
育儿
股票
教育
影视
情感
热点
中国军情
武器
中国南海
中国足球
亚洲杯
科比
综合体育
CBA
投资
楼市
大咖秀
外汇
创业
风口
SUV
豪车
概念车
优惠
新能源
美国
欧洲
朝日韩
俄罗斯
孕期
街拍
恋爱攻略
婚姻
正能量