说明:本文华算科技介绍了电子局域函数(ELF)的基本概念、计算方法及其在材料科学中的应用,重点阐述了ELF如何量化电子局域化程度以识别化学键类型、定位孤对电子。
并结合密度泛函理论(DFT)等计算方法,揭示化学键本质与反应机理。该函数为理解电子结构提供了直观分析工具,对材料设计和性质研究具有重要指导意义。
什么是电子局域函数(ELF)?
电子局域化函数(Electron Localization Function,ELF)是由Becke和Edgecombe于1990年提出的一种实空间函数,用于量化描述电子在原子、分子和固体中的局域化程度。
ELF的核心物理思想是基于相同自旋电子对的排斥作用——当某个空间位置存在电子时,与其同自旋的另一个电子出现在附近的概率会显著降低,这种排斥作用的强度直接反映了电子的局域性。
从数学定义上看,ELF是一个无量纲函数,其取值范围在0到1之间。ELF = 1表示电子在该位置完全局域化,类似于孤立原子中的核心电子或分子中的孤对电子;ELF = 0.5表示电子表现出类自由电子气行为;
而ELF = 0则表示电子高度离域或者该区域几乎没有电子分布。这一清晰的物理定义使ELF成为分析化学键性质和电子分布特征的强大工具。
与总电子密度描述整体电子分布不同,ELF聚焦于电子的相对局域化特征。总电子密度图显示的是系统中所有电子的整体分布情况,而ELF揭示的是电子在空间中的局域程度,能够清晰区分共价键、离子键、金属键等不同类型的化学键。
并准确标识孤对电子的位置。这种独特的视角使ELF在理解化学键性质和反应机理方面具有不可替代的价值。

DOI:10.1088/1361-648X/ab7fd8
ELF的计算方法与流程
ELF的计算通常基于第一性原理计算方法,如密度泛函理论(DFT)。在主流的计算材料学软件包中,如VASP、Quantum ESPRESSO和CASTEP等都实现了ELF计算功能。在这些软件中,通过简单的参数设置即可进行ELF计算。
从计算流程来看,ELF计算通常包含以下几个步骤:首先进行几何结构优化获得体系的基态电子结构;然后基于收敛的波函数计算ELF分布;最后通过后处理工具进行可视化分析。
整个流程可以高效地集成到标准的材料计算工作流中,使得ELF分析成为常规计算的一部分。
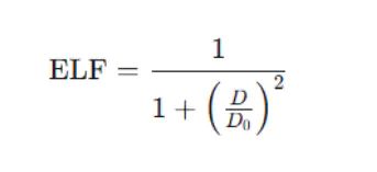
ELF的数学表达式可以写为:

其中,D表示相同自旋电子对的局域化概率密度,D0对应均匀电子气参考体系的对应量。这个公式的巧妙之处在于它将复杂的电子关联效应转化为直观的0-1标度,同时保持了与化学直观的一致性。
ELF的应用领域
ELF在化学、材料和物理等领域有着广泛的应用,其主要价值在于直观揭示化学键本质和电子局域特征。通过分析ELF分布,研究人员能够深入理解分子和固体的成键机制、反应活性和物理性质。
化学键类型识别
ELF是区分化学键类型的强大工具。在共价键合物如N₂分子中,ELF分析清晰显示了两个特征区域:键轴区域的中等ELF值(约0.5-0.7)代表共价键合电子,而氮原子外侧的高ELF区域(约0.9)则对应孤对电子。
这种分布与氮原子的sp杂化图像一致,印证了ELF结果的可靠性。

DOI:10.1088/1361-648X/ab7fd8
孤对电子识别
ELF特别擅长识别孤对电子区域,这对理解分子反应性至关重要。在水分子中,ELF分析清晰显示了氧原子外围的两个高ELF区域,对应两对孤对电子。
这些区域的电子高度局域化,在分子表面形成反应活性位点,决定了水分子的氢键形成能力和亲核反应性。
表面与界面研究
在表面科学和界面工程中,ELF分析能够揭示表面态和界面键合的特性。在材料表面,由于对称性破缺,电子局域性往往发生显著变化,影响表面反应活性。通过比较体相和表面的ELF分布,可以理解表面重构、吸附和反应的本质。

DOI:10.1126/sciadv.aay8361
结论
电子局域函数作为强大的电子结构分析工具,已经展现出在化学、材料和物理等领域的独特价值。通过量化电子局域程度,ELF建立了连接量子力学计算与化学直观理解的桥梁,成为研究化学键本质、反应机理和材料性质的不可或缺的手段。
展望未来,ELF分析将继续深化我们对物质电子结构的认识,在能源材料、量子器件和生命科学等领域发挥更大作用。
特别是在多尺度复杂体系研究中,ELF可能成为连接不同尺度的关键,建立从原子键合到宏观性质的完整图像,推动材料科学和化学的进一步发展。