
射频衰减器是射频和微波电路及系统的基本组成部分,主要用于在灵敏的测试和测量接收机之前降低被测设备的输出信号,以确保更符合阻抗匹配和精确控制发射机输出处的信号幅度。在射频系统设计过程中,高效便捷的射频计算器及转换工具可以让工程师事半功倍。今天我们来了解衰减器计算器。
衰减器可以使用电阻、PIN二极管、FET、HEMT和CMOS晶体管,并通过GaAs、GaN、SiC或CMOS技术来实现。构成各种衰减器设计配置的三种基本拓扑:T型、π型和桥接T型网络。下面了解T型、Pi型衰减器计算器。
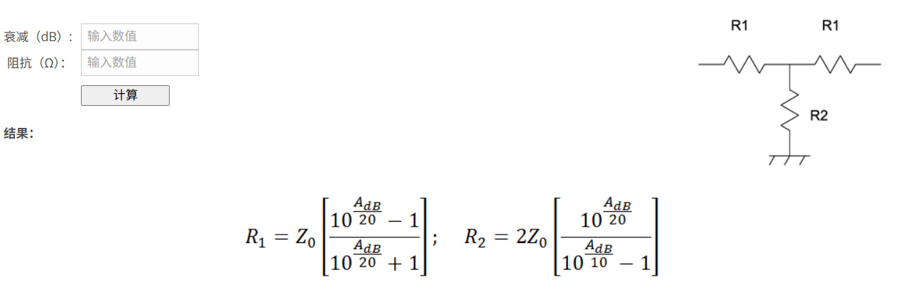
1)T 型衰减器计算器
T 型衰减器(T-pad))是一种特殊类型的衰减器电路,类似于字母“T”。T 型衰减器由输入端的一个串联电阻和两个并联电阻组成,其中一个接地,另一个连接到输出端。
Pasternack T 型衰减器计算器(又名T-pad)用于确定三通衰减器的电阻值(R1 和R2)(单位为欧姆)。

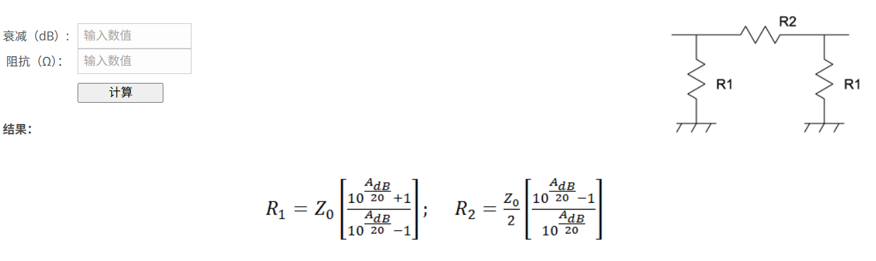
2)Pi 衰减器计算器
Pi 衰减器(Pi pad)是一种特殊类型的衰减电路,类似于希腊字母“Π”(Pi)的形状。Pi 衰减器由一个串联电阻和两个并联电阻组成,分别在输入端和输出端接地。
Pasternack Pi 衰减器计算器(又名Pi-pad 衰减器)用于确定Pi 衰减器的电阻值(R1 和R2)(单位为欧姆)。
