作者:彭晓辉
赶在“三八妇女节”前写这个稿子,就想要平衡一下这个节日,在重视妇女权益的前提下,别忘了人类的另一半,其中有的人永远都会去从事充满危险的工作,甚至为了人类的福祉,(不光在战争中)会牺牲掉生命。他们就是从事危险工作的男人们。本文评论了美国和加拿大的电视专题节目,说的就是男人所从事的危险或脏的工作。
但是,我百度检索,中国的电视节目还没有报道中国男人的危险工作的专题,除非出现了安全生产事故的新闻报道,例如矿难。为何出现这样的局面?我感到疑惑了……
美国每年有600多名女性因为孕产而死亡,同时有4500人左右因工伤而死亡。
工伤死亡者中7%-8%是女性,其他92%-93%都是男性。很多女人也做着非常艰苦的劳动,但是做那些最容易致死,最容易致残的工种的,绝大部分是男人。
美国女兵里面,只有7.5%想要去和敌人面对面的交战,而男兵,从入伍那天起,他就明白他随时可以被派往前线近距离交锋。
这里帮彭晓辉教授补充一下中国数据:在《Comparison of fatal occupational injuries in construction industry in the United States, South Korea, and China(美国、韩国和中国建筑业致命职业伤害的比较)》一文中:中国男性工伤死亡占比88.9%,女性则只有11.1%。韩国和我国差距也不是很大,常年维持在9:1,美国差距则更为悬殊,来到了惊人的50:1——maxkk26按


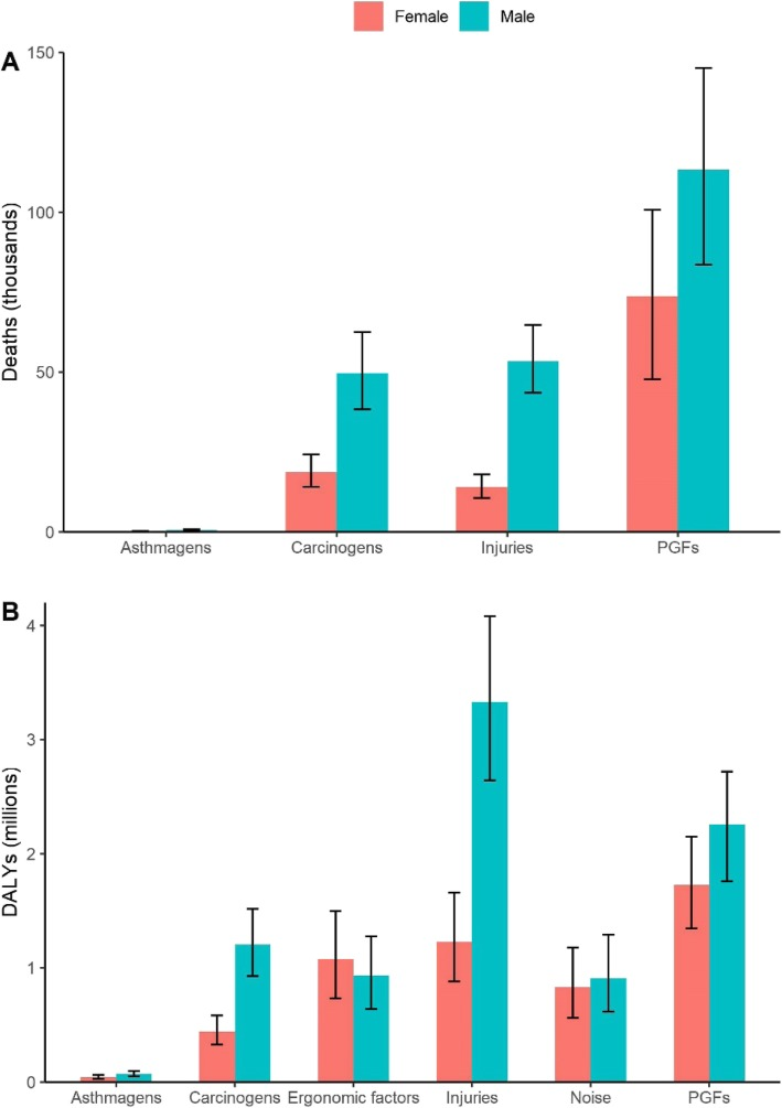
在另外一篇文章《中国18种职业风险因素造成的疾病负担:2017年全球疾病负担研究分析》[3]中指出:2017年,男性因职业风险导致的死亡人数是女性的2倍以上——maxkk26按

北美有好几个社会传真节目,通过镜头跟踪这些劳动者的日常工作,让大众从真实中产生敬意。
一个加拿大的节目叫Highway Thru Hell(从高速路穿过地狱),讲的是开大卡车跑运输的人们。加拿大的冰天雪地是出了名的危险,别的地方百年不遇的雪灾在加拿大是年年上演。

这就是节目中那个运输公司的男女比例8:2(左上角图)

就是这个公司的司机,他的腿就在镜头前被压断(左上角图)。记者刚好赶上记录下真实。

还有一个节目,叫Deadliest Catch(最致命的捕捞),讲的是打捞帝王蟹的渔民。(见下图)

节目中的渔民全员是男性,而且不是随便一个男性就干得了的,时有受不了的人自己离开,也有不能胜任的人被船长开除。

节目中的渔民全员是男性
他们的工作是,在帝王蟹到礁石上繁殖的时候,也就是在天气寒冷的时候,把船开到白令海峡波涛汹涌的礁石附近,把蟹打捞上来。雄的留下卖钱,雌的抛回海里繁殖下一代。冰冷的浪头刺骨,拍在船栏杆上就冻成冰,隔一段时间就要用大锤敲掉。如果掉进冰冷的海里,救人的时间是很有限的,因为人很快就会冻得不会挣扎,不会呼吸。


《江上渔者》:“江上往来人,但爱鲈鱼美。君看一叶舟,出没风波里。——宋代诗人范仲淹”
诗中说:江岸上来来往往的人们,都只喜爱品尝鲈鱼味道的鲜美。请君看看吧,那一条捕鱼的小船,正在大风大浪中出没呢。
诗外之意是,鲈鱼之美是渔民辛辛苦苦冒着风险换来的啊。诗歌以朴实无华的语言和生动的形象,表达了诗人对渔民的关切和同情。
这还是描述江上的场景,那么,在白令海峡捕蟹人面对的危险,比起诗中的在江面捕鱼的渔夫是有过之而无不及,不知道凶险了百倍千倍

这就是帝王蟹,还有令人垂涎的蟹腿肉01
另一个节目叫做Billy the Exterminator(除虫者比尔)。其实他的工作不限于除虫,而是包括把任何入侵人类生活区的,不属于宠物的动物弄走,如果是野生动物就放回自然区域。
在美国,这意味着爬进屋顶抓蛇,跳进池塘抓鳄鱼。比尔的节目已经停播,因为他在大麻尚未合法化的地区拥有大麻,被判有Misdemeanor(轻微的不良行为),需接受监督一年。他也是个普通人,而且很不巧,他不住在大麻合法化的州。

原文有两张图是比尔抓蛇和鳄鱼的,但是怕有些读者可能受不了,就不放了
还有一个收集了各种工作的节目,叫Dirty Jobs(脏活)。节目主持人到每个行业中去,身体力行的干那些工作者干的活。节目中的劳动者有男有女,但是在危险的岗位上,主要是男人。



不管什么样的社会,什么样的意识形态下,科技发展程度如何,都会有那些容易让人丧命或致残的危险工作,必须要有人去干。干这种工作的,永远都会是以男人为主。
那些做着高危工作的劳动者们,他们文化程度低也好,见识不够广也罢,言行不够文雅也好,思想不够先进也罢,不够懂得政治正确也好,只要没有犯该进监狱的罪,我们就不能不给他们额外的敬意。
包括我在内的,天天坐在电脑前,敲着键盘翻着书拿着笔的人,或者是做着虽然辛苦但是不那么危险的工作的人,有什么资格认为我们自己代表了先进,他们代表落后,对他们不屑一顾呢?
我希望中国也能有反映这类行业劳动人民工作生活实况的节目(我记得是有了,但是节目名称忘了——maxkk26按)。我们对他们的态度,不应该除了轻视就是同情;他们最应该得到的,是来自包括来自女人们的全体人们的尊重和感激!
在彭晓辉原文下有人发了这样一张图:


对比下中国工伤死亡率和孕妇死亡率
我国2024年孕产妇死亡率14.3/10万,

中国是世界上少数实行男女不同龄退休的国家之一,且退休年龄差距属罕见。
2017年我国工伤死亡率18.74/10000人,其中男性占比九成。
