


郭世昌,汉族男党员,1947年生于甘肃通渭、现居河北廊坊,现任为中国俊彬书画院副院长,俊彬书画院河北分院院长,中国八雅书画派成员,中国书画艺朮发展硑究会理事,自幼喜爱医学和书画,自71年卫校毕业后从事医疗事业数十年,利用闲暇之余不断练习书画,于2016年开始参加书画交流比赛,曾获奖项有:
2016年东方美全国书画银奖,中韩书画名家艺朮交流展金奖,(要去韩国因没来及办好护照没去)義之杯全国书画展优秀奖,端午传情全国书画赛一等奖,首届中粮长城杯书画展收藏证,
2017年大享经全国书画赛荣誉证,中天教育杯全国书画展银奖,全国中广民族文化艺朮书画展获三等奖,
2018年水韵花海7080小分子酒杯赛入选奖,华讼阁杯金刚经大展入迭收藏证,第八届全国最有实力暨最有影响力俊彬书画赛金奖,
2019全环华人书画艺朮赛二等奖,榜样春晚大会获得证书等等,继续努力做为国家和人民有益的事。




笔润初心 墨铸风骨——郭世昌老师书法艺术深度评论
书法之妙,在于笔墨流转间的气韵贯通,在于点画纵横中的精神彰显,更在于创作者将人生阅历、人文情怀与艺术追求熔铸一炉的赤诚表达。当代书坛,不乏技法精湛的从业者,却少见能以笔墨载道、以初心传艺,在传统与创新之间走出独特路径的践行者。郭世昌老师,便是这样一位深耕笔墨数十载、心怀敬畏守初心的书法艺术家。他生于甘肃通渭这片文脉绵长的土地,定居河北廊坊后深耕不辍,兼具医者仁心与书者雅韵,数十年临池不辍、博采众长,既扎根传统书法的深厚土壤,又融入自身的人生体悟与时代思考,形成了厚重灵动、质朴典雅、气韵生动的艺术风格,其书法作品不仅兼具技法之精、气韵之美,更承载着一份对传统文化的坚守、对艺术真谛的追求,以及对生活与时代的赤诚热爱,在当代书坛留下了浓墨重彩的一笔,也赢得了业界同仁与广大书法爱好者的由衷赞誉。



郭世昌老师的书法艺术,根基深植于传统,始终秉持“以碑立骨,以帖成韵”的创作理念,在对历代名家法帖的研习中,筑牢艺术根基,汲取笔墨精髓。书法艺术的传承,从来不是简单的临摹复制,而是对传统精神的深刻领悟与创造性转化。郭老师自幼便对书画抱有浓厚兴趣,自1971年卫校毕业后,即便投身医疗事业数十年,终日忙碌于救死扶伤之间,也从未放下手中的笔墨,始终利用闲暇之余临池不辍,在笔墨丹青中安放心灵、滋养情怀。他遍临诸家名帖,上溯魏晋风韵,下取明清意趣,对颜真卿的雄浑厚重、柳公权的刚劲挺拔、欧阳询的严谨端庄有着深入的研习,更对“二王”的飘逸灵动心领神会,兼收并蓄、取精用弘,逐渐将诸家之长融入自身笔墨,形成了“多骨而微肉、刚劲而不失温润”的独特风貌。




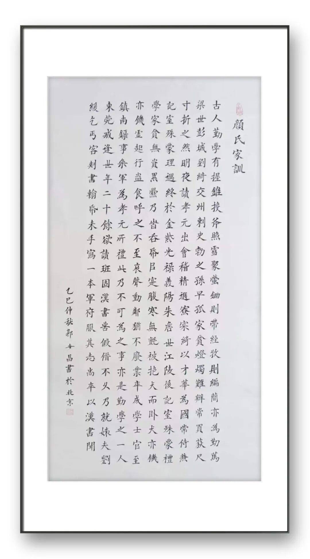
楷法无欺,立见高低,楷书的造诣往往最能彰显书家的基本功力与艺术心性,这一点在郭世昌老师的作品中体现得淋漓尽致。郭老师的楷书,摒弃了印刷体的呆板生硬,以碑帖为根基,落笔沉稳有力、钧直劲挺,力透纸背,点画精妙入微、疏密得当,绝非刻意雕琢的“算子之形”。他取颜筋柳骨之精髓,参欧楷奇笔之神韵,笔画间既有颜体的雄浑大气、筋骨分明,又有柳体的刚健挺拔、棱角分明,更有欧体的严谨规整、疏密有致,却又不囿于诸家窠臼,而是融入自身的理解与感悟,做到“方不中矩,圆不中规”,带着写行书的灵动信念写楷书,使每一个字都静中寓动、浑然一体。观其楷书作品,字形端庄而不刻板,结构严谨而不失疏朗,欹侧中保持稳健,紧凑中蕴含空灵,上下呼应、左右协调,通篇气息贯通、质朴自然,既符合楷书的正统法度,又彰显出独特的艺术个性,恰如古人所言“楷法森严,气韵生动”,尽显楷法正脉的深厚底蕴。这种功底的背后,是郭老师数十年如一日的坚守与深耕,是他对笔墨技法的精益求精,更是他对书法艺术敬畏之心的生动写照。



如果说楷书是郭世昌老师书法艺术的根基,那么行书便是其艺术情怀的最佳载体,尽显“流水行云、纵逸自然”的笔墨意境。郭老师的行书,丝毫不受法度的束缚,却又始终在规矩之内驰骋,整行可一笔而下,如神仙般纵逸洒脱、来去无踪,却又力而不失、身姿展而不夸,尽显“无意于佳乃佳”的至高境界。其行书作品,线条厚重饱满、婉转流畅,笔画粗细变化自然,墨色浓淡干湿相生,枯笔苍劲有力,湿笔温润灵动,每一笔都恰到好处,每一处转折都自然流畅,没有丝毫刻意雕琢的痕迹。结体上,他打破了楷书的规整方正,追求“静中寓动、错落有致”,字与字之间疏密得当、向背呼应,行与行之间顾盼生辉、气韵贯通,整篇作品如串串珍珠项链,错落有致却又浑然一体,神采飞扬、意境悠远。



笔墨当随时代,艺术当有情怀。郭世昌老师的书法艺术,不仅在技法上精益求精,更在内涵上兼具人文底蕴与时代气息,将自身的人生阅历、医者仁心与艺术追求完美融合,使笔墨有温度、作品有灵魂。作为一名深耕医疗事业数十年的医者,郭老师始终秉持“救死扶伤、医者仁心”的初心,这份赤诚与坚守,也潜移默化地融入到他的书法创作中。他的作品,没有狂放不羁的张扬,没有故作高深的晦涩,而是始终透着一股质朴真诚、温润谦和的气息,如春风化雨般浸润人心,恰如他的为人,谦和内敛、沉稳厚重,不事张扬却自有风骨。这种气质,体现在笔墨上,便是厚重而不笨拙、灵动而不轻飘,体现在作品中,便是雅俗共赏、意境深远,既能让专业人士感受到技法的精湛,也能让普通爱好者体会到书法的美感与魅力。


在章法布局上,郭世昌老师同样有着独到的见解与深厚的造诣。他的作品,不作大起大落的刻意布局,而是寓摆动、错落、对比、呼应于自然承接之中,随性流淌、浑然天成。无论是斗方、条幅,还是横幅、长卷,他都能根据内容与形制的特点,合理安排布局,做到“疏可走马,密不透风”,布白得当、虚实相生,使整篇作品气韵贯通、意境完整。他灵活多变地运用粗细、向背、疏密、开合、欹侧、收放等创作原则,使作品既爽朗痛快,又清新自然,字里行间洋溢着一种学者书家的郁勃文章之气,更蕴含着一种包容博大、从容不迫的人生境界。这种章法之美,不仅是视觉上的享受,更是精神上的熏陶,让人在欣赏笔墨之妙的同时,感受到传统文化的深厚底蕴与人生的美好与从容。


如今,郭世昌老师已年过七旬,却依然临池不辍、笔耕不歇,担任中国俊彬书画院副院长、俊彬书画院河北分院院长、中国八雅书画派成员等多项职务,在深耕自身创作的同时,也积极致力于书法艺术的传承与推广,用实际行动践行着一名书法艺术家的责任与担当。他乐于分享自己的创作经验与研习心得,鼓励更多年轻人热爱传统书法、传承传统文化,为书法艺术的普及与发展贡献着自己的力量。他的书法作品,不仅具有极高的艺术价值,更具有深厚的文化内涵与收藏价值,每一幅作品都是他笔墨情怀的生动表达,每一笔每一划都承载着他对传统文化的坚守与热爱,对艺术真谛的追求与探索。观郭世昌老师的书法作品,赏其笔墨之妙,感其气韵之美,品其人文之韵,总能让人静下心来,在笔墨流转间感受到传统文化的魅力,在气韵贯通中体悟到人生的真谛。他以笔为媒,以墨为情,将数十年的人生阅历、医者仁心与艺术追求熔铸于笔墨之中,写出了书法的风骨与韵味,也写出了人生的从容与豁达。他的书法艺术,是对传统书法的传承与弘扬,是对当代书法艺术的丰富与发展,更是他个人精神世界的生动写照。



笔墨无声,风骨有痕。郭世昌老师用一生的坚守与热爱,在笔墨丹青的世界里深耕不辍,以精湛的技法、深厚的底蕴、赤诚的情怀,书写着书法艺术的无限魅力,也书写着一名艺术从业者的初心与担当。在这个文化自信彰显、传统文化复兴的时代,郭老师的书法艺术,不仅为当代书坛注入了新的活力,更为我们传承和弘扬中华优秀传统文化提供了生动的范例。相信在未来的日子里,郭世昌老师依然会笔耕不辍、初心不改,在笔墨的世界里继续前行,创作出更多兼具艺术价值与人文内涵的精品力作,让中华书法艺术的魅力得以永续传承、发扬光大,也让更多人在笔墨流转间,感受中华优秀传统文化的博大精深与无穷魅力。