杂化轨道理论模型表征分析方法杂化轨道可以解释分子构型与成键本质,进而影响材料性能。
一、什么是杂化轨道理
是量子化学与价键理论的重要分支,由莱纳斯・鲍林(Linus Pauling)于 20 世纪 30 年代提出,原子在形成分子时,为满足成键需求并降低体系能量,将不同类型、能量相近的价层原子轨道重新组合,形成一组能量均等、空间取向特定的新轨道,这一过程称为轨道杂化,新生成的轨道即为杂化轨道。

杂化轨道的分析依赖量子化学中的,核心公式与模型围绕能量计算关联展开。
根据量子力学原理,杂化轨道是原子轨道的线性组合(LCAO),其波函数可表示为:

hybi(即杂化轨道的电子云总量等于参与杂化的原子轨道电子云总和);ψDOI: 10.1002/aenm.202103301
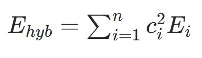
杂化轨道的能量由参与杂化的原子轨道能量与组合系数决定,公式为:

hybiDOI: 10.1002/adfm.201908367
在/电催化Fe-O 键的强度与 d-p 轨道的重叠积分Sd-p正相关,重叠积分公式为:

为 d 轨道的共轭波函数,ψ为 p 轨道的波函数,为体积元。S越大,轨道重叠程度越高,Fe-O 键能越强。

杂化轨道理论是连接原子结构与分子功能的核心桥梁,其重要性在化学、材料科学等领域尤为突出,具体可从三个维度展开:
在基础化学中,杂化轨道理论是理解分子空间结构的关键。
DOI: 10.1007/s40820-024-01528-9
在材料科学中,杂化轨道的类型与强度直接决定材料的物理化学性质。
金属有机框架共价有机框架多孔材料DOI:10.1016/j.cej.2024.155005
在电催化领域,杂化轨道理论是理解催化活性本质的核心工具。
DOI:10.1016/j.cej.2024.155005
四、杂化轨道如何表征分析?
密度泛函理论(DFT):计算杂化轨道
是分析杂化轨道的核心工具,可计算杂化轨道的能量、波函数、电子云分布及与中间体的相互作用。
DOI:10.1016/j.cej.2024.155005
分子轨道理论(MOT)Fe 的 3d 轨道与 O 的 2p 轨道杂化后形成 σ 成键轨道、σ反键轨道与 π 成键轨道、π反键轨道;当反键轨道(σ*、π*)电子填充量增加时,Fe-O 键能减弱,有利于 OH * 脱附。
antibondf为反键轨道的电子填充分数,n越大,Fe-O 键越弱。

晶体场理论(CFT):d轨道的分裂与杂化
用于分析过渡金属 d 轨道在配位环境中的分裂,为能量相近的轨道杂化 “创造条件”。
ge直接影响 d-p 杂化强度 —— 当n=1时,e轨道与 O 的 p 轨道杂化适中,OER 活性最高。

X射线吸收光谱(XAS):电子结构与键长
线包括 X 射线吸收近边结构()与扩展 X 射线吸收精细结构(),可直接表征杂化轨道的电子结构与键长。
XANES 可通过吸收边位置判断 Fe 的价态,进而分析 d 轨道的电子填充情况对杂化的影响。

XANES:反映轨道杂化状态
是XAS的近边区域分析技术,通过探测原子吸收 X 射线后电子从芯能级向空价态轨道的跃迁,反映原子的氧化态、配位数及轨道杂化状态。
XANES 用于分析 Ni 掺杂对 WO₂中 W 原子 d 轨道杂化状态的调控。通过对比纯 WO₂、Ni-WO₂及 W 箔的 W L₃边 XANES 光谱,证明杂化轨道电子云密度发生重分布。

DOI: 10.1002/aenm.202103301
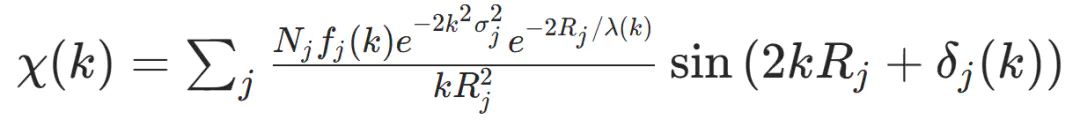
扩展 X 射线吸收精细结构(EXAFS)其数据通过傅里叶变换(FT)转换为径向分布函数(RDF),核心拟合公式基于 EXAFS 振荡函数:

EXAFS 是验证 WO₂中 W-M(M=W、Ni)键杂化状态的关键技术,包括键长与配位数测定、杂化强度量化。
Ni 掺杂破坏了原有的 W-W 轨道杂化,形成了更弱的 W-Ni 杂化键,与理论计算的键级降低完全一致。

XPS:表征分析电子结合能
用于分析原子的电子结合能,间接反映杂化轨道的电子分布。
DOI:10.1016/j.cej.2024.155005
拉曼光谱(Raman)与红外光谱(IR)Fe-N-C 催化剂吸附 OOH * 后,O-O 键的振动峰下移,表明 Fe 的 3d 轨道与 O 的 2p 轨道杂化增强,O-O 键被活化,为 ORR 反应的下一步质子转移提供了证据。

杂化轨道理论的价值不仅在于 “解释现象”,更在于 “指导设计”。结合论文内容,可从以下四个层面 “用好” 杂化轨道,突破催化瓶颈。
杂化轨道的核心是 “能量相近”,需通过元素掺杂、配位环境调整等手段,使过渡金属 d 轨道与 O p 轨道的能量差(ΔE = |E_d – E_p|)处于 0.5~1.0 eV 的 “黄金区间”。
Zn 掺杂 Fe-N-C 催化剂时,Zn 的 3d 轨道与 Fe 的 3d 轨道耦合,使 Fe 的 3d 轨道中心上移,ΔE下降,增强 d-p 杂化强度,优化 O₂吸附。

轴向配位调控:DOI:10.1016/j.cej.2024.155005
杂化轨道的对称性决定了轨道重叠的方向与效率,需通过破坏对称结构提升杂化灵活性。
DOI:10.1016/j.cej.2024.155005
过渡金属的自旋态(高自旋 HS、中自旋 MS、低自旋 LS)会影响 d 轨道的电子分布,进而改变杂化强度。
DOI:10.1016/j.cej.2024.155005
非共价相互作用(如氢键 HB)可间接调控杂化轨道的电子分布。
DOI:10.1016/j.cej.2024.155005


六、总结展望
杂化轨道理论的深度应用,将为解决能源转换领域的催化瓶颈提供关键思路,推动燃料电池、金属 – 空气电池等技术的工业化进程。