IUPAC六类、比表面积计算BJH/DFT孔径分布单点/t-plot,并汇总催化剂筛选、吸附材料研发等应用案例。
一、什么是BET分析?
计算多孔材料比表面积单层吸附容量吸附等温线则是恒定温度下,吸附质在吸附剂表面的吸附量与吸附质平衡压力的关系曲线,它,是多孔材料表征的“基础图谱”。

10.1002/anie.202518458
二、BET分析的核心原理
(1)BET吸附等温方程(基础形式):

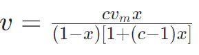
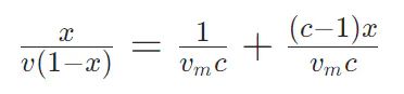
(2)BET吸附等温方程(线性形式):

(3) 比表面积计算公式:

为相对压力,反映吸附质在吸附剂表面的覆盖程度;v:单位质量吸附剂的吸附质体积,代表实际吸附量;vm:阿伏伽德罗常数。
基础形式方程描述了“单层吸附→多层吸附”的过程,线性形式通过数学变换将非线性关系转化为直线,通过拟合斜率和截距可快速求解vmT. Br- α 的单晶X射线结构及吸附等温线。10.1021/jacs.5c11317
三、吸附等温线类型
I; 实际实验中,曲线可能因材料纯度、吸附质种类略有偏差,但核心形态如拐点、滞后环、阶梯不变。
四、比表面积计算
1. BET方程
,进而换算比表面积。分析时需选择合适的P/P0P/P0P/P0c、截距b=1/vm值,最终代入表面积计算公式求解比拟合相关系数R需满足R²≥0.999,c>0,若R²0Langmuir 方程的核心在于假设 “均匀表面 + 单层吸附 + 无分子间作用”,适用于 I型等温线的低P/P0Langmuir 方程可用于微孔材料的单层吸附分析,不适用于多层吸附体系。

在PyPDA-COF 和 PyPDB-COF上负载 Co(II)前后的 BET 表面积(a)和孔体积(b)的变化情况。10.1002/anie.202510550
五、孔径分布分析
1.BJH模型
BJH模型不适用于使用BJH模型进行模拟时,首先进行分支选择,避免吸附时的孔道堵塞假象,优先选脱附分支,但墨水瓶孔材料,如部分MOF需选吸附分支。其次根据材料类型选择吸附层厚度模型,介孔硅首选 Kruk-Jaroniec-Sayari(KJS)模型,碳材料选 Carbon Black STSA 模型;
DFT模型基于,,支持狭缝形、圆柱形、球形等复杂孔形假设,。其模型分类与适配场景如下:
适用于微孔 – 介孔复合体系QSDFT(准谐密度泛函理论):,精度高于 NLDFT,孔径范围 0.7-100nm;
结合 DFT 的高级方法,(如 MCM-41),可输出孔道结构三维分布图。
六、孔容测定方法
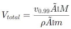
需通过单点法测定总孔容、t-plot 法测微孔孔容来分层测定=0.99)下的吸附量,假设吸附质完全填充孔道,计算式:

为P/P0得到总孔容后需要进一步结合t-plot 法测定微孔孔容,首先需要根据标准厚度方程——Harkins-Jura方程,来计算得到标准吸附层厚度t(单位Å),方程如下:

。介孔孔容Vmeso−Vmicro催化剂的比表面积和孔径分布直接影响活性位点数量和反应物扩散效率下图为孔纳米片无Pt催化剂(FeAC-N-SC)的合成与结构表征。其中BET测试显示高比表面积(1020.3 m²/g)和分级孔结构(微孔/介孔),促进质量传输;拉曼光谱(ID=1.16)和XPS表明高缺陷密度,有利于活性位点暴露。

10.1021/jacs.5c03499
2. 吸附材料研发