群发资讯网

LaPha:你的Agent轨迹其实嵌入在一个Poincaré球?

本文第一作者夏翰宸为上海科学智能研究院强化学习研究员,硕士毕业于上海交通大学,研究方向为 Agentic RL 和

本文第一作者夏翰宸为上海科学智能研究院强化学习研究员,硕士毕业于上海交通大学,研究方向为 Agentic RL 和多模态扩散语言模型。本文的通讯作者是复旦大学朱思语教授。

在经典强化学习问题中,动作空间通常是离散且有限的。例如在围棋中,一步棋就是一次行动;在机器人控制或视觉 - 语言 - 行动(VLA)模型中,动作往往来自一个有限的控制指令集合。

这样的设置使得搜索算法(如 MCTS)能够在一个结构清晰的决策空间中展开,每个分支都对应一个真实且不同的决策。

但语言模型的情况截然不同。

如果把 token 序列直接视为动作,那么语言模型的动作空间几乎是无限的。同一个语义决策,可以被大量不同的字符串表达。

著名语言学家、哲学家维特根斯坦在《哲学研究》的开篇提出了一个著名的例子,用来说明语言与行动之间的关系:在一个建筑工地上,一名工人只需要喊出「Slab!」(石板),他的同伴就会把石板递过来。在特定语境中,一句话的意义并不取决于它的字面形式,而取决于它在「语境」(context)中的功能。

对 LLM Agent 来说,同一个语义动作,可以被不同的字符串实现:不同的措辞、格式变体、tool-call 写法,看起来是不同分支,本质上却在做同一件事。这意味着,把 token sequence 直接当成「策略」,会系统性地高估语言搜索树的 branching factor。模型表面上在「广泛探索」,实际上却可能只是在不同 paraphrase 之间来回打转。

语言推理的问题,不只是搜索树太大,而是搜索树里有大量「看起来不同、其实等价」的分支。

如果再叠加 RLVR 的稀疏奖励问题,情况会更糟。很多任务只有极少量终点路径能被规则验证为正确,而且验证信号往往只在最后一步出现。于是,一边是搜索预算被近重复分支大量消耗,另一边是中间过程缺乏稳定反馈,credit assignment 也就变得异常脆弱。

围绕「对于 LLM 来说,何为 policy」这个本质问题,上海科学智能研究院联合复旦大学提出 LaPha(Latent Poincaré Shaping for Agentic Reinforcement Learning):把智能体的行为树映射到 LLM 自身的潜空间,用几何距离定义势函数,构造密集的过程奖励,并训练类 AlphaZero 的 LLM Agent。

论文链接:https://arxiv.org/pdf/2602.09375

先看最硬的结论

LaPha 的亮点可以用三句话概括:

在隐空间分配公平、密集的过程奖励; 在隐空间进行策略剪枝; 在隐空间训练 Value Network,以极低的开销换取大幅度 test-time scaling;

效果直接反映在基准上:

Qwen2.5-Math-1.5B on MATH-500 / Gaokao'23 (En):66.0% → 88.2% / 46.5% → 67.7%; Qwen2.5-Math-7B on AIME'24/25:10.0% → 60.0% / 16.7% → 53.3%。

轻量改造的核心:把「树结构」搬进负曲率几何

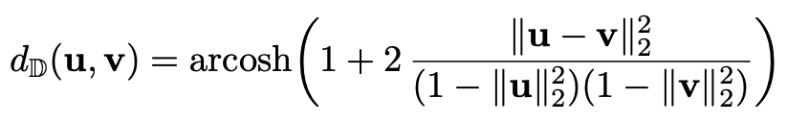
LaPha 的做法很直接:对每个搜索节点,把 LLM 的最后一个隐层做平均池化,得到一个状态向量;再以 prompt 的隐向量为原点做「平移中心化」,最后把所有状态的隐向量映射到 Poincaré 球内。此后搜索、奖励、价值、剪枝都在同一潜空间上完成。

为什么是双曲(hyperbolic)空间?

树的分支数随深度指数增长,而负曲率空间的有效容量也随半径指数扩张,树节点数量随深度膨胀,欧式空间出现「粘连」,而双曲空间上的节点因为空间膨胀,节点仍能够相互区分; RMSNorm 后的隐层分布在高维超球面,球面向量不具备单调性,无法刻画「进展」;而 Poincaré 球上可以观察到清晰的从根节点向边界「生长」的 Agent 行为树。

用几何势函数,把稀疏验证奖励「变密」

上图可视化了 LaPha-Math-1.5B 搜索正确答案的过程,Agent 的「动作」产生了一棵自「问题」向边界生长的搜索树。LaPha 主要通过以下几步将「终点对错」转成每一步都可以学习的过程信号。

双曲测地距离(Poincaré 球的距离)

构造势函数(取值在 [0,1]),离 root 越远、离最近「正确解」越近,势能越高

沿边的过程奖励就是势能差分。这一步很关键:用势能差分做奖励,能在理论上保持「最优策略不变」的性质,同时把稀疏终点信号变成密集的中间奖励。

轻量 value head:把「几何进展」学成一个便宜的排序器

光有过程奖励还不够 —— 推理端看不到「正确叶子集合」,怎么办?

LaPha 在同一份 pooled hidden state 上挂了一个非常轻的 value head(线性 + sigmoid),去拟合上面势函数定义出来的目标。训练完成后,value head 直接作为 MCTS 的启发式信号,在 test-time 引导选择与扩展。

value head 形式

value loss(用势函数做监督)

训练中,self-guided Pass@1 逐渐超过叶子平均正确率,说明 value head 学到了独立于 policy head 的额外信息。

潜空间剪枝

语言动作空间的最大浪费,是 MCTS 反复扩展一堆几乎等价的表达。

LaPha 在潜空间里按双曲距离对非终止节点聚类,对每个簇禁用一部分近重复节点,再重建 frontier 继续搜。这样能显著减少「语义坍缩」,提升覆盖率,让同样的模拟预算探索到更多真正不同的思路。