为庆祝中华人民共和国成立75周年,北京日报社联合北京市教委、北京教育融媒体中心共同发起“见字如面·用时光胶囊约定2049”活动。经过专家组评审,最终有30件作品入选“时光胶囊”,北京日报社永久收藏。
在书信作品中,孩子们用文字表达对祖国深情告白,北京日报客户端选取了部分优秀作品,用AI技术将文字转化成绘画作品,看看孩子们的文字会生成怎样的优美画作。
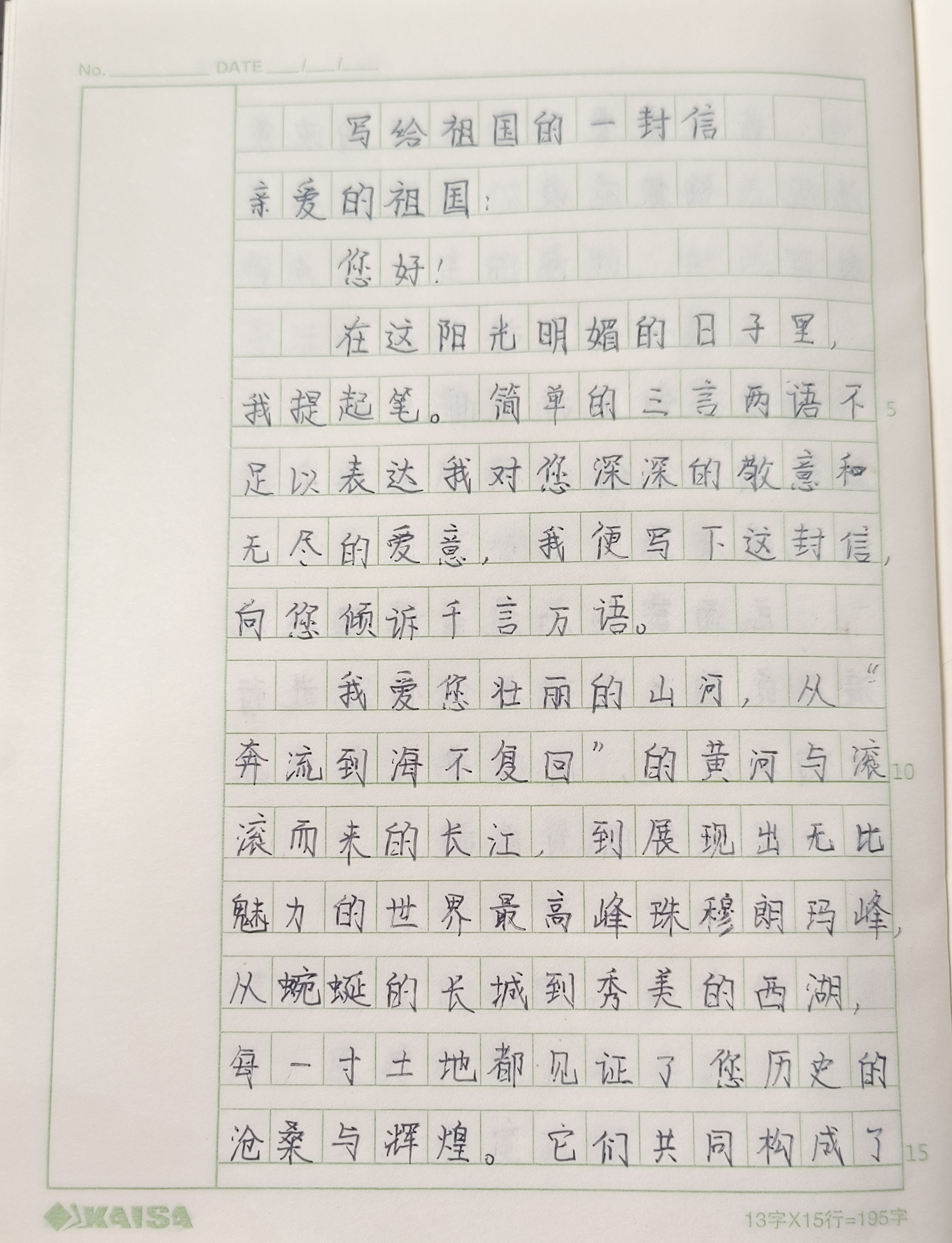
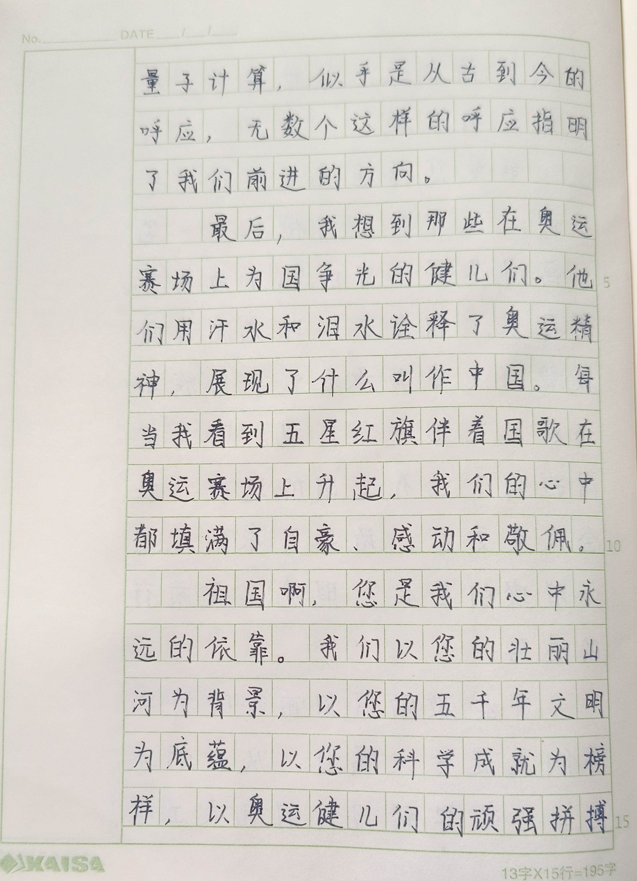
今天这幅AI绘画作品的原型来自北京市天通苑中山实验学校五年级(5)班张迦晴的书信作品《写给祖国的一封信》。






为庆祝中华人民共和国成立75周年,北京日报社联合北京市教委、北京教育融媒体中心共同发起“见字如面·用时光胶囊约定2049”活动。经过专家组评审,最终有30件作品入选“时光胶囊”,北京日报社永久收藏。
在书信作品中,孩子们用文字表达对祖国深情告白,北京日报客户端选取了部分优秀作品,用AI技术将文字转化成绘画作品,看看孩子们的文字会生成怎样的优美画作。
今天这幅AI绘画作品的原型来自北京市天通苑中山实验学校五年级(5)班张迦晴的书信作品《写给祖国的一封信》。





